Article
What are the chances that 40% of your team has the same birthday?

A year ago today, we celebrated three employee birthdays at our office: Benjamin Lehrer, Mike Whitmore, and Elisha Terada. They just so happen to all have the same birth day. This may not sound too surprising if you are working at a large corporation, but what if there are only 8 working in the office? How could that be possible?
Fast forward one year to 2011 where we now have 10 people in our office (not counting contractors and our employees on client sites, which makes us ~20). Just about a month ago, we added a new programmer, Sean Patterson, to our Fresh team. It was only a week ago Elisha noticed Sean’s birthday notification on Facebook, and he thought, “that’s a lot of July birthdays in our office”, until he clicked Sean’s profile and found out that his birthday is also on July 15th!
Elisha immediately wondered if Jeff was making key hiring decisions based on birth dates! No, Jeff didn’t know about this until Elisha wrote about this on his Facebook wall. Now there are 4 people in our office with same birthday in the group of 10.
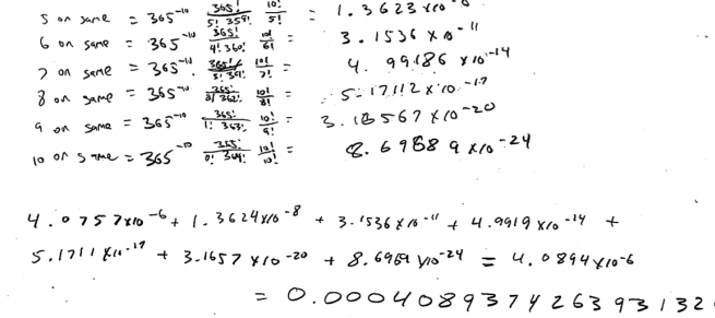
We thought this is an very interesting phenomenon, and we decided to calculate the probability of this phenomena to see how interesting it was (yes we are all Geeks). So our lead technologist, Steve Hulet, spent some time writing up the equations to find out the probability of 4 people sharing the same birthday in a group of 10, then spent some more time validating the answer by writing another equation to see if he could verify the number. (see Math of one of the equations done below)
The answer Steve came up with is that the probability of this happening is about 0.0004089% OR roughly about 1 in 245,000.
What does that mean?
- Elisha said: We must be Fresh
- Steve said: Our team is 1 in a (quarter) million!
- Jeff said: If you have a birthday on July 15th, please send your resume to [email protected]. All of our July 15th birthday team members are awesome!